Publicado em 23/08/2013
A Polícia Civil de São Paulo reage contra a omissão do Governo em relação às reivindicações por melhores condições de trabalho em mais uma Operação Blecaute, ato realizado nesta quinta-feira (22). O movimento, organizado pela Adpesp e o Sindpesp, paralisou- entre 10h e 16h – as atividade de 98% das cerca de 2 mil delegacias do Estado. Confira imagens da Marcha de Protesto realizada em Piracicaba/SP.
Arquivo mensal: agosto 2013
Policial que mata bandido perde tudo, Magistrado que mata a mulher ganha gorda aposentadoria – Ex-Juiz que matou a esposa continua recebendo subsídio mensal de R$ 21. 766,55 11
| OAB RECUSA INSCRIÇÃO DE EX-JUIZ QUE MATOU PROFESSORA PALMITALENSE 18/10/2011
O Conselho Seccional da Ordem dos Advogados do Brasil de São Paulo (OAB-SP), que reúne os principais líderes da advocacia paulista, rejeitou o pedido de reingresso na instituição feito por Marco Antônio Tavares, ex-juiz da Comarca de Jacareí (Vale do Paraíba) e que foi condenado pela morte da esposa, a professora palmitalense Marlene Moraes Tavares, em 1997. A informação foi confirmada ao JC por uma fonte que acompanhou a sessão e solicitou anonimato. Na deliberação, em reunião no dia 26 de setembro, os membros da ordem decidiram de forma unânime negar o pedido de retorno à advocacia feito por Tavares, que em 2009 teve suspensa pelo Conselho Nacional de Justiça (CNJ) a aposentadoria de R$ 15 mil mensais por invalidez que havia sido concedida pelo Tribunal de Justiça de São Paulo (TJ-SP). Caso tivesse o pedido aceito pela OAB-SP para ser inscrito em uma das subsecções da capital paulista ou mesmo de Palmital (conforme versões das fontes ouvidas pelo JC), Tavares poderia retornar à advocacia, atividade que exercia antes do ingresso na magistratura. Porém, os conselheiros da entidade paulista negaram o pedido avaliando que, devido ao crime praticado e da repercussão do caso em âmbito nacional, ele é considerado indigno para o exercício da profissão. Assim, informaram as fontes, a instituição demonstrou que trabalha pela defesa dos direitos da sociedade e que não compactua com a manutenção em seus quadros de pessoas condenadas por condutas criminosas. CASO – O romance tumultuado entre Marco Antônio e Marlene Moraes começou quando ele atuava como juiz na Comarca de Palmital. A morte da professora, em agosto de 1997, aconteceu quando ela já estava separada do magistrado, com quem brigava na justiça pela guarda dos filhos. O corpo de Marlene foi encontrado às margens de uma estrada na região de Jacareí, em estado de decomposição, cerca de 10 dias depois da morte. A Polícia Técnica identificou um tiro no peito e outro na perna. Os dedos do cadáver foram raspados para evitar a identificação das impressões digitais, mas os amigos e familiares da professora reconheceram seu corpo pelas vestes e jóias. Uma dentista, amiga da vítima, também reconheceu uma prótese dentária. Tavares, que foi afastado do cargo após o crime, não compareceu ao sepultamento no Cemitério Municipal de Palmital e passou a responder a processo no TJ-SP, apesar de alegar inocência e afirmar que a ex-mulher ainda estava viva. O caso ganhou repercussão nacional e foi tema de reportagens em emissoras de TV, jornais e revistas que esmiuçaram as particularidades do episódio macabro. Em dezembro de 2002, o Órgão Especial do TJ-SP condenou o juiz a treze anos de prisão por homicídio duplamente qualificado, com cumprimento da pena em regime integralmente fechado em uma prisão especial. Posteriormente, ele ganhou o direito de albergue domiciliar, continuando a receber salários até a concessão de aposentadoria por invalidez, concedida em 2008, devido a uma hérnia de disco. Porém, em 2009, o Conselho Nacional de Justiça (CNJ) suspendeu o benefício ao apurar que Tavares não sofria de problemas na coluna e, conforme denúncia, atuava na área da construção civil juntamente com o filho. A condição de aptidão física foi comprovada por perícia médica do juizado especial federal de São Paulo, que não detectou problemas que o impedissem de exercer suas atividades. Portanto, não cabia a aposentadoria por invalidez. Com a suspensão do benefício, ele tentou retornar à advocacia para conseguir uma nova fonte de renda, mas teve o pedido de reingresso negado pela OAB-SP. |
Fonte: Jornal da Comarca
————————————————
Caro Dr Guerra, na matéria sobre salários do Tribunal ,o mais chocante não são os salários em si ,mas o que aparece a pagina 27,8 linha em que aparece o nome de Marcos Antônio Tavares como Juiz de direito da comarca de Jacareí com um salario de 21 766,55 reais, ocorre que esse cidadão foi processado , julgado e condenado a 13 anos de reclusão por ter matado a própria mulher , cumpriu parte da pena em regime fechado no Regimento de Cavalaria , e continua recebendo salario, isso é vergonhoso.

João Alkimin
Protesto da Polícia Civil restringe atendimento nos DPs em Campinas 13
Ao menos 9 delegacias da cidade interromperam as atividades na manhã.
Categoria reinvidica mais efetivo e atendimento médico e psicológico.
Do G1 Campinas e Região
Ao menos nove delegacias de Campinas (SP) aderiram à paralisação estadual dos policiais civis nesta quinta-feira (22), em protesto contra as más condições de trabalho. É a quarta vez que a categoria para em 25 dias e atende apenas as ocorrências graves e flagrantes por um determinado período. Desta vez, o protesto tem previsão de durar seis horas, das 10h às 16h. A terceira paralisação interrompeu as atividades por cinco horas, segundo a Associação dos Delegados de Polícia do estado de São Paulo, que batiza o proteso como “Operação Blecaute”.
Em Americana (SP), os quatro distritos policiais da cidade interromperam as atividades em adesão à paralisação estadual.
Operação Blecaute
A categoria reivindica mais policiais e acompanhamento médico e psicológico. A primeira paralisação dos policiais civis aconteceu no dia 29 de julho. Os 13 Distritos Policiais da cidade ficaram sem atividades das 10h às 12h. No dia 8 de agosto, a categoria fez uma paralisação das 10h às 14h. O terceiro dia de paralisação durou cinco horas, na terça-feira (13). A cidade possui déficit de 300 profissionais, segundo balanço feito pelo sindicato que representa a categoria.
Efetivo policial em Piracicaba é 1/3 do que havia há 20 anos, diz associação…Nos tornamos ‘fazedores de BO” 6
23/08/2013 08h05 – Atualizado em 23/08/2013 08h05
Adpesp organizou ato em protesto por melhores condições na quinta-feira.
Fernando Dultra criticou defasagem no número de policiais civis na cidade.
Do G1 Piracicaba e Região

O delegado de Piracicaba (SP) Fernando Dultra afirmou que o efetivo da Polícia Civil na cidade atualmente representa um terço do número de policiais que atuavam na cidade em 1993. Ele atua na Delegacia de Investigações Gerais do município e é o representante local da Associação dos Delegados da Polícia Civil do Estado de São Paulo (Adpesp).
A associação organizou, nesta quinta-feira (22), uma passeata pelo Centro da cidade em protesto por melhores condições salariais e estruturais. A principal crítica do grupo, composto por policiais de Piracicaba e da região, é voltada ao governo estadual e à falta de valorização da profissão.
O número total do efetivo, incluindo investigadores, carcereiros e escrivães, não foi informado pelo representante da Adpesp por motivo de segurança. Dultra, no entanto, explicou a defasagem apontando números de titulares nas delegacias.
“Há 20 anos a DIG tinha sete delegados e hoje só tem dois. Dos 19 delegados distribuídos nos distritos policiais do município, nove já podem se aposentar. O que mais pesa é a falta de material humano”, afirmou. No censo de 1991, Piracicaba tinha 278.715 habitantes e, em 2010, a população aumentou para 364.571.

Piracicaba (Foto: Thomaz Fernandes/G1)
Pautados pela imprensa
O delegado afirmou que a Polícia Civil não tem condições de fazer as investigações da maioria dos casos registrados em boletins de ocorrência. “Nossas investigações são definidas pela mídia atualmente. Em função da falta de efetivo, acabamos dando prioridade a casos de grande repercussão. A maioria das pessoas se torna vítima duas vezes, quando sofre o crime e quando espera horas para registrar o boletim de ocorrência”, completou.
O aumento da violência, segundo o delegado, é o principal efeito colateral da dificuldade da Polícia Civil em investigar crimes menores. “Se o autor do furto não é preso, lá na frente ele vai cometer um crime mais grave”, afirmou.
A presidente da Adpesp, Marilda Aparecida Pansonato Pinheiro, esteve na cidade nesta quinta e reforçou as palavras de Dultra. A delegada afirmou que os crimes de repercussão são, de fato, os que são investigados a fundo. “A Polícia está sendo pautada pela mídia, nós não temos efetivo suficiente para investigar tudo de maneira apropriada. Nos tornamos ‘fazedores de BO’.”
Marília – Polícia Civil adere a “Operação Blecaute” 6
A Polícia Civil de Marília aderiu à “Operação Blecaute” e interrompeu, entre as 10h e 16h de ontem (22) o atendimento à população. A medida, adotada em todo o Estado de São Paulo, determinou que durante o período apenas ocorrências de flagrante e crimes considerados graves, como homicídio, fossem registrados. Na cidade, não foram contabilizados muitos prejuízos e reclamações.
De acordo com o delegado e diretor da entidade que coordena o movimento, a Adpesp (Associação dos Delegados de Polícia Civil do Estado de São Paulo), Cleber Pinha Alonso, o movimento tem como propósito protestar e conscientizar a população sobre as precárias condições de trabalho e o sucateamento da Polícia Civil.
A categoria cobra a falta de investimento do governo paulista, omissão que atinge tanto a infra-estrutura quanto a qualificação e a valorização dos policiais civis. Ainda segundo ele, uma assembleia realizada na capital paulista na última terça-feira decidiu pela deflagração da greve, com início em data ainda indefinida.
“Estamos lutando mais uma vez por melhores condições de trabalho e salariais. A reluta do governo em avançar nas negociações com a categoria chegou num ponto que ficou insustentável. Essas ações pontuais de paralisação do atendimento são o início da deflagração de uma nova greve da Polícia Civil”, disse.
A reportagem apurou que o movimento teve índice de 100% de adesão. Policiais dos cinco distritos policiais, das três delegacias especializadas (DIG, DISE e DDM) e também do Plantão Policial confirmaram, via contato telefônico, adesão pela suspensão temporária dos serviços.
A última greve da Polícia Civil aconteceu em 2008 e durou 64 dias em Marília. O movimento na cidade foi considerado um dos mais fortes no Estado e afetou todo o atendimento à população. Durante os meses de setembro e novembro, apenas 30% do efetivo trabalhou e atrasou o trabalho de investigações de crimes e emissão de documentos e habilitações na 12ª Ciretran.
O Jornal Diário tentou contato com o delegado seccional Luís Fernando Quintero de Souza, mas ele não foi encontrado e nem retornou os telefonemas.
http://www.diariodemarilia.com.br/Noticias/125005/Polcia-Civil-adere-a-Operao-Blecaute
PALAVRAS ERRADAS x INTERPRETAÇÕES EQUIVOCADAS – Cabeça pensante = apenas uma metáfora empregada com o sentido de DIRIGENTE 50
Vocês delegados que são as cabeças pensantes da Polícia Civil = vocês delegados que são os dirigentes .
Roberto Conde Guerra
—————————–
Bom dia Mazzi.
From: alexandre
To: morrone
Subject: Palavras erradas justamente neste momento
Date: Wed, 21 Aug 2013 14:07:33 -0300
Ajuste MP e Polícia Militar – A PM fornece pessoal e equipamentos para investigações e operações ; o Ministério Público assume o compromisso de dar o devido encaminhamento jurídico às sugestões, representações e relatórios de inteligência da PM 39
Guerra, olha só isto aqui: http://www.mp.sp.gov.br/portal/page/portal/noticias/noticia?id_noticia=10753032&id_grupo=%20118&id_style=1
O que que é isso?
Quinta-Feira , 22 de agosto de 2013
MP e Polícia Militar assinam convênio de cooperação técnica
O Procurador-Geral de Justiça, Márcio Fernando Elias Rosa, visitou nesta quinta-feira (22/08) o Comandante Geral da Polícia Militar do Estado de São Paulo, Coronel PM Benedito Roberto Meira. No encontro, o Procurador-Geral de Justiça foi ainda recebido pelo Conselho de Coronéis da PM, formado por 61 Oficiais Superiores.
O Procurador-Geral de Justiça, Márcio Fernando Elias Rosa e o Comandante Geral da Polícia Militar do Estado de São Paulo, Coronel PM Benedito Roberto Meira
Durante a visita, foi celebrado um Termo de Cooperação Técnica entre o Ministério Público e a Polícia Militar, cujo objetivo é o aprimoramento das atividades de inteligência, mediante a troca de informações e o intercâmbio entre os profissionais por meio de cursos, seminários e workshops, entre outros aspectos relevantes em prol da sociedade paulista.
Ata da audiência – Dissídio coletivo das categorias policiais 27
BAIXADA SANTISTA – Por melhores condições de trabalho, delegacias paralisam atendimento 16
Operação Blecaute
A Polícia Civil paralisou parte das atividades nesta quinta-feira em delegacias do Estado de São Paulo. Na Baixada Santista, segundo apurou a Reportagem, parte das unidades aderiu à quarta manifestação da Operação Blecaute. No Estado de São Paulo, segundo informações da Associação dos Delegados de Polícia do Estado de São Paulo (Adesp) a adesão foi de 98%.
Em estado de greve, das 10h às 16 horas, as delegacias registraram apenas ocorrências consideradas gravíssimas, como homicídio, crimes de maus tratos. Já nos casos de pequenos delitos, como extravio de documento, a população foi conscientizada a retornar ao distrito policial após às 16 horas.
A decisão de paralisar as atividades, de acordo com a Adesp, se deve à omissão do Governo do Estado em relação ás reivindicações de ambas entidades representativas por melhores condições de trabalho, descaso que vem gerando gradualmente o colapso da Polícia, que segue impedida de prestar um atendimento digno e de qualidade ao cidadão.
“A polícia não está mais conseguindo investigar. O sistema já entrou e em colapso e o Estado não percebeu”, ressalta a presidente da Associação dos Delegados de Polícia do Estado de São Paulo (Adesp), Marilda Aparecida Pansonato Pinheiro.
Por falta de investimento e infraestrutura a Polícia Investigativa, segundo a Adesp, segue impedida de exercer sua principal missão, deixando de prender os autores de pequenos delitos, estimulando-os a praticar grandes crimes, resultado da impunidade e da progressão criminosa, que avança inclusive para o Interior do Estado, antes tido como um recanto calmo e seguro.
Entre as delegacias da região que aderiram ao movimento estão o 2º, 3º, 5º e 7º DP de Santos, 2º DP de São Vicente e delegacias de Guarujá.
Delegados e policiais fazem passeata por melhor condição em Piracicaba 17
Servidores de todos os Distritos Policiais da cidade e da região participaram.
Caminhada durou uma hora e encerrou em encontro em salão da Câmara.
Do G1 Piracicaba e Região
Policiais caminharam nas ruas do Centro e foram à Câmara de Piracicaba (Foto: Thomaz Fernandes/G1)Delegados e policiais civis de Piracicaba (SP) e da região saíram em passeata pelo Centro na tarde desta quinta-feira (22) em protesto por melhores condições salariais e estruturais. O ato foi organizado pela Associação dos Delegados da Polícia Civil do Estado de São Paulo (Adpesp) e teve a adesão servidores de todos os Distritos Policiais (DPs) da cidade.
O grupo, que segundo a organização foi de mil pessoas, saiu da sede do 1º DP no Centro e foi recebido no Salão Nobre da Câmara após uma hora de caminhada. O protesto foi pacífico e foi acompanhado por um minitrio que reproduzia palavras de ordem gravadas. As frases criticavam o governo estadual e pediam melhores salários para a classe. Todas as delegacias funcionaram normalmente no período em que houve os atos.
Vereadores receberam manifestantes no SalãoNobre da Câmara (Foto: Thomaz Fernandes/G1)
A presidente a Adpesp, Marilda Aparecida Pansonato Pinheiro, esteve presente e afirmou que as principais deficiências da Polícia Civil se deve à defasagem nos investimentos. “Nós não estudamos para nos tornarmos ‘fazedores de BO (boletim de ocorrência)’. Do jeito que está a situação de efetivo perdemos o nosso caráter investigativo. Dos 28 mil policiais do estado, 17 mil têm condições de se aposentar; o nosso salário é o 26º entre os 27 estados do Brasil”, afirmou.
Na Câmara, o presidente João Manoel dos Santos (PTB) recebeu os manifestantes com um grupo de outros vereadores no Salão Nobre e determinou que o encontro fosse transmitido pelo canal de televisão da instituição. Em seu discurso, o político esclareceu a razão para receber os manifestantes dentro da casa. “Todo o movimento organizado será recebido com as portas abertas, ou melhor, escancaradas. E se não estiverem eu abro”, concluiu
PUXA-SACOS DO REI CABRAL – A Associação dos Delegados de Polícia do Estado do Rio de Janeiro (Adepol) É UMA GRANDE FARSANTE…Governo militar e governo ladrão se combate na porrada! 9
Associação de delegados pede novas regras para manifestações
- Eles querem tornar obrigatório o aviso prévio de 15 dias para a realização de protestos
- A Adepol também pede que a partir de agora seja aplicada a lei que classifica como crime fazer em público propaganda de processos violentos ou ilegais, ou incitar subersão à ordem social

Manifestação de professores na esquina da Avenida Delfim Moreira com a Rua Aristides Espínola, no Leblon Marcelo Carnaval / Agência O Globo
RIO – A Associação dos Delegados de Polícia do Estado do Rio de Janeiro (Adepol) encaminhou ao secretário-chefe da Casa Civil, Regis Fichtner, documento formal com pedido para aplicação de novas regras para manifestações. Eles pedem que a partir de agora seja aplicada a Lei Federal nº7.170, de 14 de dezembro de 1983. A lei classifica como crime fazer em público propaganda de processos violentos ou ilegais, ou incitar subersão à ordem social. A pena para o primeiro crime é de um a quatro anos de detenção e para o segundo é de um a quatro anos de reclusão
Leia mais sobre esse assunto em http://oglobo.globo.com/rio/associacao-de-delegados-pede-novas-regras-para-manifestacoes-9615477#ixzz2cjG5zJQw
© 1996 – 2013. Todos direitos reservados a Infoglobo Comunicação e Participações S.A. Este material não pode ser publicado, transmitido por broadcast, reescrito ou redistribuído sem autorização.
Henrique Alves vai buscar apoio dos governadores para aprovar a PEC 300 14
Segurança
21/08/2013 – 18h44
O presidente da Câmara, Henrique Eduardo Alves, se reuniu nesta quarta-feira com deputados, bombeiros e policiais civis e militares para discutir a votação em segundo turno da PEC 300/08, que estabelece novas regras para o piso salarial desses trabalhadores.
De acordo com o presidente da Confederação Brasileira de Trabalhadores Policiais Civis (Cobrapol), Jânio Bosco Gandra, o presidente da Câmara disse que vai se empenhar para buscar o apoio dos governadores para a proposta. O principal impacto da PEC, caso aprovada, recai sobre os orçamentos dos estados.
Também ficou acertada uma reunião do grupo de trabalho que acompanha as negociações para o dia 17 de setembro, quando poderá ser definida uma agenda para a votação da PEC. A proposta foi aprovada em primeiro turno pelo Câmara, em 2010.
Reuniões às quartas
O coordenador da Frente Parlamentar de Apoio à PEC 300/08, deputado Otoniel Lima (PRB-SP), também 3º vice-presidente da Comissão de Segurança Pública e Combate ao Crime Organizado, disse que ficou acertada a realização de reuniões semanais do grupo de trabalho com o presidente da Câmara, às quartas, a fim de avaliar os avanços gradativos da negociação.
Segundo Otoniel, os estados que são contra a PEC “têm que justificar os motivos para se oporem à sua aprovação e se entender com os seus respectivos deputados”.
Otoniel lembrou também que os parlamentares do grupo de trabalho participaram da reunião de lideres pela manhã e reafirmaram que a invasão do Plenário da Câmara, ocorrida ontem, não caracteriza a conduta e o comportamento dos policiais e dos bombeiros. “Policiais devem conter manifestações e não, fazê-las.”
Íntegra da proposta:
PEC-300/2008
PEC-446/2009
Reportagem – José Carlos Oliveira
Edição – Newton Araújo
Com informações da Assessoria da Presidência
A reprodução das notícias é autorizada desde que contenha a assinatura ‘Agência Câmara Notícias’
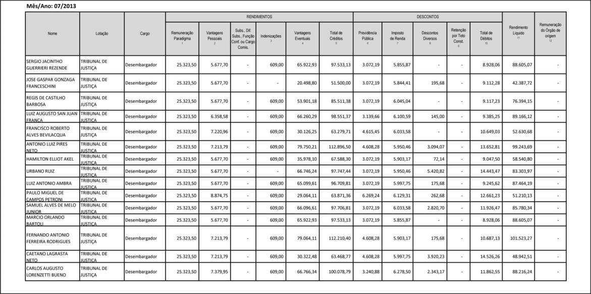
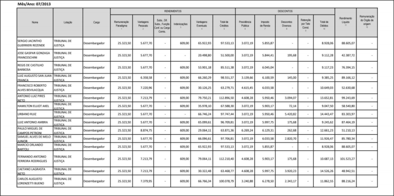
FlitLeaks – Eis o porquê de não contarmos com respeito , solidariedade e imparcialidade do Poder Judiciário: MAGISTRADOS RECEBEM POR MÊS MAIS DO QUE DELEGADO RECEBE POR ANO E ATÉ TRINTA VEZES MAIS DO QUE UM OPERACIONAL POR MÊS…Policial não pode ser tratado como lacaio!…Só uma revolução funcional mudará tal distorção! 46
SALÁRIOS DE TODOS OS JUÍZES DO ESTADO DE SÃO PAULO EM SETEMBRO DE 2012.
( Atualmente ganham cerca de 10% a mais )
ESTÁ PROVADO PORQUE NÃO TEMOS AJUDA DA MAIORIA DO PODER JUDICIÁRIO, PORQUE COM UM SALÁRIO DESSES COMO OS MAGISTRADOS RECEBEM, PARA QUÊ AJUDAR OS MAIS FRACOS E OPRIMIDOS?
Chapas inscritas para eleição no SINDPESP- Sindicato dos delegados de polícia do Estado de São Paulo 5
ESTADO DE GREVE 28
![]() |



